https://www.acmicpc.net/problem/2004
2004번: 조합 0의 개수
첫째 줄에 정수 $n$, $m$ ($0 \le m \le n \le 2,000,000,000$, $n \ne 0$)이 들어온다.
www.acmicpc.net
[문제]
nCm의 끝자리 0의 개수를 출력하는 프로그램을 작성하시오.
[입력 조건]
첫째 줄에 정수 n, m (0≤m≤n≤2,000,000,000, n≠0)이 들어온다.
[코드]
import java.util.*;
/*
* 이항 계수를 구하는 공식은 nCm = n! / (n-m)! * m! 이다.
* 0은 2와 5의 곱으로 만들어지기 때문에 n!에서의 2와 5의 개수에서
* (n-m)! * m!에서 만들어지는 2와 5의 개수를 빼주면 된다.
* 지수는 나눗셈인 경우 뺄셈으로 계산하기 때문이다.
* 이렇게 구해진 5와 2의 개수 중 작은 숫자가 문제의 해답이 된다.
*/
public class BaekJoon_2004 {
public static void main(String[] args) {
// TODO Auto-generated method stub
Scanner sc=new Scanner(System.in);
long N=sc.nextLong();
long M=sc.nextLong();
//n!에서의 2와 5의 개수에서 (n-m)! * m!에서 만들어지는 2와 5의 개수를 빼준다.
long count5=five_power_n(N)-five_power_n(N-M)-five_power_n(M);
long count2=two_power_n(N)-two_power_n(N-M)-two_power_n(M);
// 5와 2의 개수 중 더 작은 값을 출력해야 그 만큼 0이 만들어진다.
System.out.println(Math.min(count5,count2));
}
// 5의 승수를 구하는 함수
static long five_power_n(long num) {
int count = 0;
// 숫자를 5로 나눠 5의 개수를 구해준다.
while(num>= 5) {
count+=(num/5);
num/=5;
}
return count;
}
// 2의 승수를 구하는 함수
static long two_power_n(long num) {
int count = 0;
// 숫자를 2로 나눠 2의 개수를 구해준다
while(num >= 2) {
count+=(num/2);
num/=2;
}
return count;
}
}
[고찰]
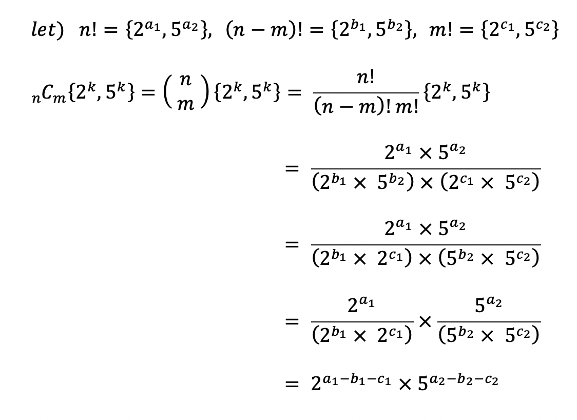
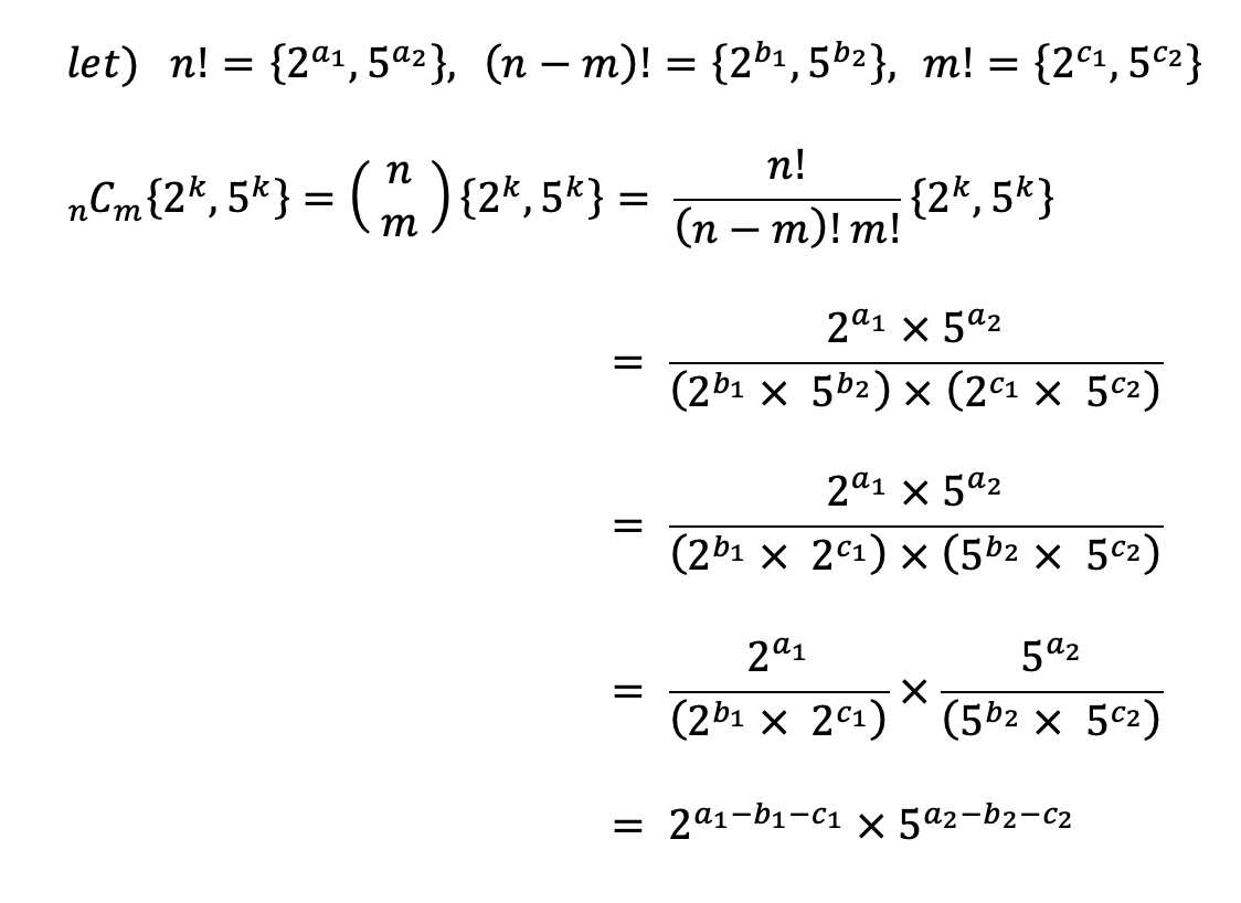
이번 문제는 이전의 팩토리얼의 0의 개수를 구하는 것과 비슷한 문제였다. 끝자리 0의 개수는 2와 5의 곱의 개수로 결정된다. 따라서 nCm = (n!) / (n-k)! * k! 에서 2와 5의 승수를 구한 후 그 중 최솟값을 찾아야 한다. 이때 지수는 나눗셈을 뺼셈으로 계산하기 때문에 n!에서의 2와 5의 개수에서 (n-m)! * m!에서 만들어지는 2와 5의 개수를 빼주면 된다. 유도된 식은 아래 그림과 같다.

'백준' 카테고리의 다른 글
| [백준_18258번] 큐 2 (0) | 2021.07.02 |
|---|---|
| [백준_12865번] 평범한 배낭 (0) | 2021.07.02 |
| [백준_4949번] 균형잡힌 세상 (0) | 2021.07.01 |
| [백준_9012번] 괄호 (0) | 2021.07.01 |
| [백준_10773번] 제로 (0) | 2021.07.01 |