https://www.acmicpc.net/problem/18352
18352번: 특정 거리의 도시 찾기
첫째 줄에 도시의 개수 N, 도로의 개수 M, 거리 정보 K, 출발 도시의 번호 X가 주어진다. (2 ≤ N ≤ 300,000, 1 ≤ M ≤ 1,000,000, 1 ≤ K ≤ 300,000, 1 ≤ X ≤ N) 둘째 줄부터 M개의 줄에 걸쳐서 두 개
www.acmicpc.net
[백준]
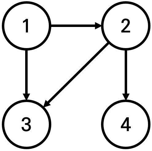
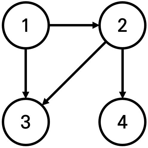
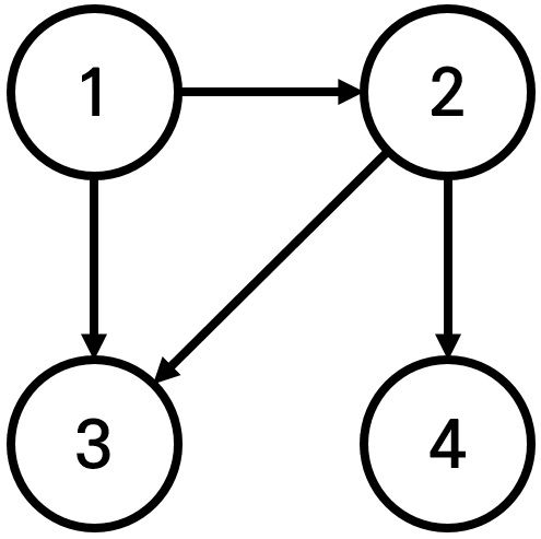
어떤 나라에는 1번부터 N번까지의 도시와 M개의 단방향 도로가 존재한다. 모든 도로의 거리는 1이다. 이 때 특정한 도시 X로부터 출발하여 도달할 수 있는 모든 도시 중에서, 최단 거리가 정확히 K인 모든 도시들의 번호를 출력하는 프로그램을 작성하시오. 또한 출발 도시 X에서 출발 도시 X로 가는 최단 거리는 항상 0이라고 가정한다. 예를 들어 N=4, K=2, X=1 일 때 다음과 같이 그래프가 구성되어 있다고 가정하자.

이 때 1번 도시에서 출발하여 도달할 수 있는 도시 중에서, 최단 거리가 2인 도시는 4번 도시 뿐이다. 2번과 3번 도시의 경우, 최단 거리가 1이기 때문에 출력하지 않는다.
[입력 조건]
첫째 줄에 도시의 개수 N, 도로의 개수 M, 거리 정보 K, 출발 도시의 번호 X가 주어진다. (2 ≤ N ≤ 300,000, 1 ≤ M ≤ 1,000,000, 1 ≤ K ≤ 300,000, 1 ≤ X ≤ N) 둘째 줄부터 M개의 줄에 걸쳐서 두 개의 자연수 A, B가 공백을 기준으로 구분되어 주어진다. 이는 A번 도시에서 B번 도시로 이동하는 단방향 도로가 존재한다는 의미다. (1 ≤ A, B ≤ N) 단, A와 B는 서로 다른 자연수이다.
[코드]
import java.util.*;
public class BaekJoon_18352 {
static ArrayList<ArrayList<Integer>> graph=new ArrayList<ArrayList<Integer>>();
static int n,m,k,x;
static int[] d=new int[300001]; // 최단거리 저장 배열
public static void main(String[] args) {
// TODO Auto-generated method stub
Scanner sc=new Scanner(System.in);
n=sc.nextInt();
m=sc.nextInt();
k=sc.nextInt();
x=sc.nextInt();
// 연결리스트에 노드 추가
for(int i=0;i<=n;i++) {
graph.add(new ArrayList<Integer>());
d[i]=-1; // 최단거리 -1로 초기화
}
// 간선 정보 입력
for(int i=0;i<m;i++) {
int a=sc.nextInt();
int b=sc.nextInt();
graph.get(a).add(b);
}
/*
* BFS 알고리즘
*
* 모든 도로의 거리가 1이기 때문에 BFS를 사용하여
* 최단거리를 구할 수 있다.
*/
d[x]=0; // 시작지점의 최단거리 값 0으로 초기화
Queue<Integer> q=new LinkedList<>();
q.offer(x);
while(!q.isEmpty()) {
int now=q.poll();
for(int i=0;i<graph.get(now).size();i++) {
int next=graph.get(now).get(i);
if(d[next]==-1) {
// 도로의 거리가 1이기 때문에 이전 최단거리에 +1한 값 저장
d[next]=d[now]+1;
q.offer(next);
}
}
}
// 최단거리가 k인 노드 찾기
boolean check=false;
for(int i=1;i<=n;i++) {
if(d[i]==k) {
System.out.println(i);
check=true;
}
}
// 최단거리가 k인 노드가 없다면 -1 출력
if(check==false)
System.out.println(-1);
}
}
[고찰]
이번 문제는 백준 문제가 이것이 코딩 테스트다 예제 실린 문제이다. 카테고리가 DFS/BFS여서 다익스트라 알고리즘을 사용하지 않고 어떻게 해결해야 하나 고민을 해봤다. 모든 도로의 거리가 1이기 때문에 BFS 알고리즘을 사용할 수 있었다. 시작 노드를 기점으로 하여 연결된 노드는 이전 노드의 거리에서 +1한 값을 최단거리 배열 값으로 갱신하고, 큐에 삽입한다. 해당 과정은 큐가 비지 않는다면 반복하고, 해당 과정이 끝난다면 최단거리 배열에 k와 같은 값이 있다면 해당 인덱스를 출력한다.
해당 문제는 물론 다익스트라 알고리즘을 사용하여 풀 수도 있었다. 앞으로 간선간의 거리가 1일 경우에는 BFS로 해결할 수 있다는 것을 기억해두어야겠다.
'백준' 카테고리의 다른 글
| [백준_10825번] 국영수 (0) | 2021.08.10 |
|---|---|
| [백준_18405번] 경쟁적 전염 (0) | 2021.08.10 |
| [백준_11727번] 2Xn 타일링 2 (0) | 2021.08.07 |
| [백준_11726번] 2Xn 타일링 (0) | 2021.08.07 |
| [백준_11052번] 카드 구매하기 (0) | 2021.08.07 |